本文介紹了金屬管浮子流量計精度的定義方法,在選用該系列產品時有關精度方面的注意事項和在應.用該產品時如何實現相應的測量精度。

1. 簡述
由于金屬管浮子流量計的堅固可靠、測量穩定,并與測量介質的介電常數無關,同時由于可以采用多種耐腐蝕材料制造測量傳感器等特點,因此,這種產品可以廣泛應用于高溫、高壓或腐蝕性介質以及氣體和蒸汽的測量。
但是,基于測量原理上的特點,流量刻度與介.質密度和粘度有關,實際應用過程中介質條件的變化又經常發生,因而實際使用浮子流量計時,如何保證測量精度的準確就顯得十分重要。
2. 測量原理
如圖1所示,相對應測量介質的某一流量,磁.性浮子在測量管中對應一個浮子位置,這個浮子位置通過指示器中的經過精密充磁的磁耦合系統帶動指針,由刻度盤和指針讀出相應的流量值。
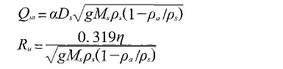
根據VDI/VDE3513 標準,金屬管浮子流量計流量計算公式:


式中:Qm為介質的質量流量;
a為與浮子形狀、介質粘度有關的系數;
Ds為浮子直徑;
Ms為浮子質量;
g為重力加速度;
ρa為介質密度;
ρs為浮子密度;
η為介質粘度。
由公式可以看出,流量刻度與介質密度、浮子密度成比例,與介質粘度有關。
3浮子流量計精度的定義
目前,在國內金屬管浮子流量計的市場上,有兩種定義精度的方式。.
一種是采用國家行業標準JB/T6844- 1993的定義方式。在這種方式中規定浮子流量計的基本誤差如表1所示。

另外一種是采用德國工程師學會VDI/VDE3513的定義方式。在這種方式中規定:
E,= (I/4E+3/4F ) xK/100
式中: E. 為流量測量點*誤差;
E為測量點流量;
F為流量計滿度流量;
K為精度等級。
由以上定義可以看出:
(1)兩種定義的方式不同。在VDI/VDE標準中,給出的各個測量點精度,都包含有滿量程刻度對各個測量點精度的影響,在同樣的測量點上,與國家行業標準相比,相應提高了精度。
(2)意義不同。 在國家行業標準中,明確給出刻度是標校介質的量程(刻度),也就是說,此時的測量精度就是標校條件下的測量精度,沒有給出實際測量介質條件下的精度修正或補償。在VDIVDE標準中沒有明確說明測量介質是標校介質還是實際測量介質。表2給出按照VDIVDE3513計算出的各個測量點上的相對滿度值誤差。

4精度與刻度的現狀
不同的企業由于執行不同的產品標準,因此所制造的浮子流量計會有不同的刻度顯示,同時產品.的精度也會產生差異。目前,國內絕大部分企業生產的浮子流量計是按照國家標準或在國家標準基礎上制定自己的企業標準,其精度與量程(刻度)是定義在標校條件下的,也就是說,精度和刻度是標校條件下水或空氣的精度和刻度。
國內部分合資企業是按照國外標準,例如VDUVDE生產浮子流量計。由于采用國外技術和設備,特別是國外公司的計算軟件進行刻度轉換,在刻度轉換過程中進行密度與粘度的修正和補償,此時,浮子流量計所顯示出的刻度是實際測量介質的刻度.因此精度也是補償后的實際介質刻度。
5選型時應注意的問題
(1)在選用浮子流量計時,首先要了解浮子流量計制造企業所執行的產品標準,特別是關于精度的規定和顯示刻度的規定,其次要了解產品的制造和技術水平。同時,要結合流量測量中的工藝要求.特別是在測量或控制要求精度高、刻度顯示直觀、介質粘度高的情況下,要選擇能夠直接顯示介質流量.具有密度和粘度補償性能的浮子流量計。
(2)掌握準確的工藝條件,提供準確的介質參數。因為刻度的轉換與校驗是根據介質條件完成的。
(3)選用合適的測量部件材質。一般要選擇防腐蝕性能好的測量材質。只有保證浮子和測量部件長時間不受介,質的腐蝕,才能確保產品長期工作在出廠時的精度要求。
(4)要選用能夠使正常工作流量在50%~80%的滿刻度的范圍內。正常工作流量低于50%量程,使測量點上的*誤差增大,不利于控制精度。
6保證測量精度
(1)選型或訂貨時要提供準確的介質條件。對于具有密度和粘度修正能力的制造企業,這點尤其重要。因為,密度或粘度的差異,將直接影響流量刻度的校驗。
(2)對于直接顯示標校條件下水或空氣流量刻度的流量計,盡可能要求制造企業提供校驗數據和流量計算書,在實際使用儀表時,要根據這些校驗數據和計算書手工進行密度修正。修正的方式可以采用圖表法、表格法或在流量計算機或DCS上使用系數修正法。
(3)保證儀表安裝正確。垂直度是浮子流量計安裝時經常被忽視的一點,一般情況下,要保證垂直度在2度以內。
(4)對于要求具有控制功能的浮子流量計,盡量選用帶有通訊功能的產品。當介質條件變化時,可以利用產品的通訊功能,現場對信號進行調整,*大限度的保證產品精度。
(5)有條件的用戶,可以按照流量計制造企業提供的流量計算書和校驗記錄重新對儀表進行檢驗。
7周期檢定,保證精度的準確
要想長期保證浮子流量計的測量精度,周期對產品進行檢定是必不可少的手段。-般條件下,浮子流量計的檢定通常采用直接用水或空氣進行檢驗。有兩個方面需要注意:
(1)如果流量計刻度.上的介質條件與檢定時的介質條件相同,可采用直接進行流量比對以計算精度;
(2)如果兩者的介質條件不同,就需了解該產品是否具有密度和粘度修正功能。如果沒有修正功.能,也要了解刻度變化的條件或計算公式,根據相應的公式,才可以進行系數計算。如果具有密度和粘度修正功能,應要求制造企業提供計算方式或計算結果,利用正確地計算結果對產品進行檢定。

水平安裝金屬管轉子流量計
污泥流量計
金屬管浮子流量計
鹽酸流量計
垂直安裝金屬管浮子流量計
硫酸流量計
掃一掃關注我們